Un amplificatore in configurazione non invertente è costituito da due resistenze ed un amplificatore operazionale. Si osservi il circuito:
Se si confronta tale schema con quello dell'amplificatore invertente si nota che Vin e massa in ingresso sono collegati "al contrario". Non cambia invece il collegamento di R2.

Indichiamo i versi di tensioni e correnti:

Scriviamo ora le equazioni necessarie per calcolare il guadagno e l'impedenza di ingresso.
Per la prima equazione alle maglie consideriamo la maglia costituita da Vin, i due ingressi dell'amplificatore operazionale (ΔV) e R1:
Per le proprietà dell'amplificatore operazionale ΔV = 0. Quindi:
Come seconda equazione alle maglie consideriamo la maglia costituita da R1, R2 e Vout:
Consideriamo ora l'equazione al nodo dell'ingresso invertente dell'amplificatore operazionale.
Sapendo che I- = 0, per le proprietà dell'amplificatore operazionale, abbiamo:
Calcoliamo ora la resistenza di ingresso, applicando la definizione e le proprietà dell'amplificatore operazionale
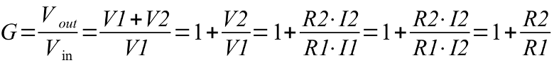
Calcoliamo il guadagno, applicando la definizione, le equazioni (2-bis), (1-ter), la legge di ohm e l'equazione (3-bis)

Osservazioni:
Appunti scolastici - Versione 0.1032 - Maggio 2025
Copyright 2012-2025, Vincenzo Villa (https://www.vincenzov.net)
Creative Commons | Attribution-ShareAlike 4.0 International (CC BY-SA 4.0)