In queste brevi note sono richiamate alcune nozioni sugli induttori che dovrebbero essere note a chiunque si occupa di elettronica; solo, forse, dimenticate. Il taglio è ovviamente applicativo, quindi niente metodo simbolico, niente induttori in serie ed in parallelo e altre cose del genere che trovate su qualunque testo scolastico che parla di elettricità oppure sulla Wikipedia.
Alcune cose "pedanti" prima di cominciare:
Se in un conduttore passa una corrente, nello spazio circostante si forma un campo magnetico ad essa proporzionale. I versi della corrente I e del campo magnetico B sono legati dalla regola della mano destra, come mostrato dalla seguente immagine:

Ovviamente un conduttore in cui scorre corrente non è mai isolato, ma richiede un circuito chiuso, che può per esempio essere immaginato come una spira, oppure una linea bifilare, cioè una coppia di fili paralleli che collegano un generatore ad un carico (nota 2):

L'intensità di B dipende ovviamente dalla distanza rispetto ai conduttori, dalla loro forma e da eventuali ostacoli che deviano le linee di forza. In entrambi i casi disegnati possiamo però intuire che nello spazio "interno" i contributi dei campi magnetici si sommano, nello spazio esterno si sottraggono e, a distanze grandi, si annullano.
Se la corrente è costante, anche B è costante; analogamente: se I è variabile, anche B sarà variabile.
Consideriamo ora un campo magnetico B che attraversa la superficie circoscritta da un circuito chiuso. Se B è variabile, nel circuito viene indotta una tensione proporzionale all'area e alla variazione di B nel tempo (nota 1). Il verso è negativo, cioè tale da opporsi alla variazione di B.
Tale tensione può essere indotta:
Consideriamo un circuito aperto (I = 0). Al circuito viene collegato bruscamente un generatore di tensione continua e quindi la corrente dovrebbe aumentare istantaneamente di conseguenza, per esempio secondo le legge di Ohm; ma ciò non avviene! Infatti l'aumento della corrente I produce un aumento proporzionale del campo magnetico B che, a sua volta, genera una tensione che si oppone all'aumento della corrente I.
Di conseguenza la corrente non cambia istantaneamente, ma impiega un tempo che dipende in particolare da una valore legato alla forma fisica del circuito e alla eventuale presenza di materiali magnetici, indicata come induttanza, in genere indicata con la lettera L.
In presenza di corrente continua l'effetto di un induttore è praticamente nullo, comportandosi come un filo con resistenza molto bassa.
Si noti che tale descrizione è corretta solo se tensione e corrente sono effettivamente costanti. Per esempio non è applicabile nel momento in cui il circuito viene "acceso" o nel momento in cui viene "spento"
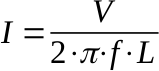
Se la tensione è sinusoidale, la corrente è anch'essa sinusoidale, con la stessa frequenza della tensione e:

Abbiamo un comportamento di "carica" e "scarica" dell'induttore
Pagina creata nel novembre 2021
Ultima modifica: 13 novembre 2021
Gli induttori - Versione 0.01 - Novembre 2021
Copyright 2012, Vincenzo Villa (https://www.vincenzov.net)
Quest'opera stata rilasciata con licenza Creative Commons | Attribuzione-Condividi allo stesso modo 3.0 Unported